• Предмет: Физика
  • Автор: otinko46
  • Вопрос задан 2 года назад

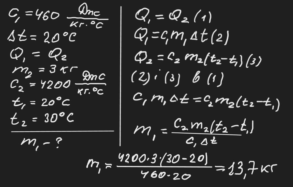
На нагрівання залізної заготовки на 20 ºС витрачено таку ж кiлькiсть теплоти, як i для нагрівання 3кг води від 20 до30 °C. Визначте масу залізної заготовки

СРОЧНО ПОМОРИТЕ ПЖЖЖ

Дам 100 балов

Ответы

Ответ дал: zybkov1950
1

Відповідь: ≈ 13,7 кг

Пояснення:

Приложения:
Вас заинтересует