• Предмет: Математика
  • Автор: zabolotnijoleg4
  • Вопрос задан 2 года назад

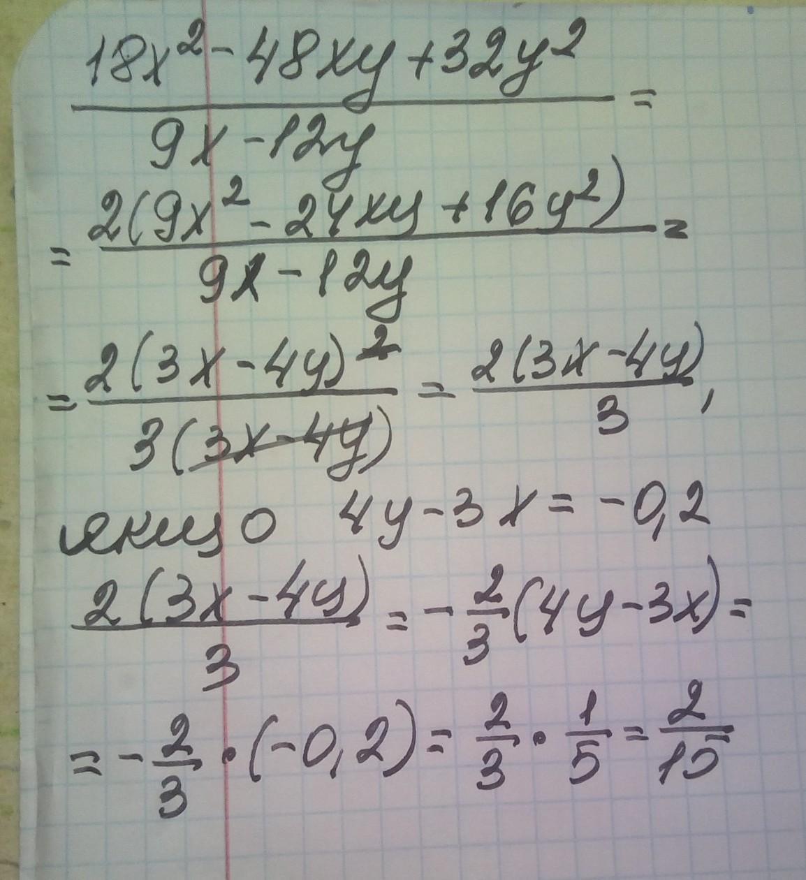
Знайдіть значення виразу: 18х2-48ху+32у2/9х-12у, якщо 4у-3х=-0,2
Будь ласка розписану відповідь якщо можна

Ответы

Ответ дал: manyny06
4

Ответ:

решение смотри на фотографии

Приложения:
Вас заинтересует