• Предмет: Математика
  • Автор: pancenkoa607
  • Вопрос задан 2 года назад

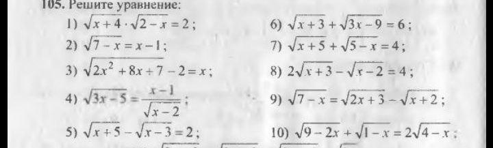
помогите пожалуйста.Очень нужно

Приложения:

Ответы

Ответ дал: ksuhasvidinuk
1

Ответ:

3

Пошаговое объяснение:

x + 2 - 2√((x + 2)(2x - 3)) + 2x - 3 = 4x - 7

3x - 1 - 2√((x + 2)(2x - 3)) = 4x - 7

- 2√((x + 2)(2x - 3)) = x - 6

4(x + 2)(2x - 3) = x^2 - 12x + 36

4(2x^2 + x - 6) = x^2 - 12x + 36

8x^2 + 4x - 24 = x^2 - 12x + 36

7x^2 + 16x - 60 = 0

D = 1936 = 44^2

x₁ = ( - 16 + 44)/14 = 2;

x₂ = ( - 16 - 44)/14 = - 30/7 ≈ - 4,28 ∉ [ 7/4; + ∞)


pancenkoa607: я вообще не пойму какое ты решила
Вас заинтересует