• Предмет: Алгебра
  • Автор: Mamazhanova
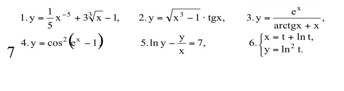
  • Вопрос задан 2 года назад

Помогите пожалуйста
…………………………………

Приложения:

Ответы

Ответ дал: romanshinkaruk123
0

Ответ:

1: 38239.0997е...

Объяснение:

дальше хз, дайте лайк

Вас заинтересует