• Предмет: Математика
  • Автор: BtsxArmyyyyy
  • Вопрос задан 2 года назад

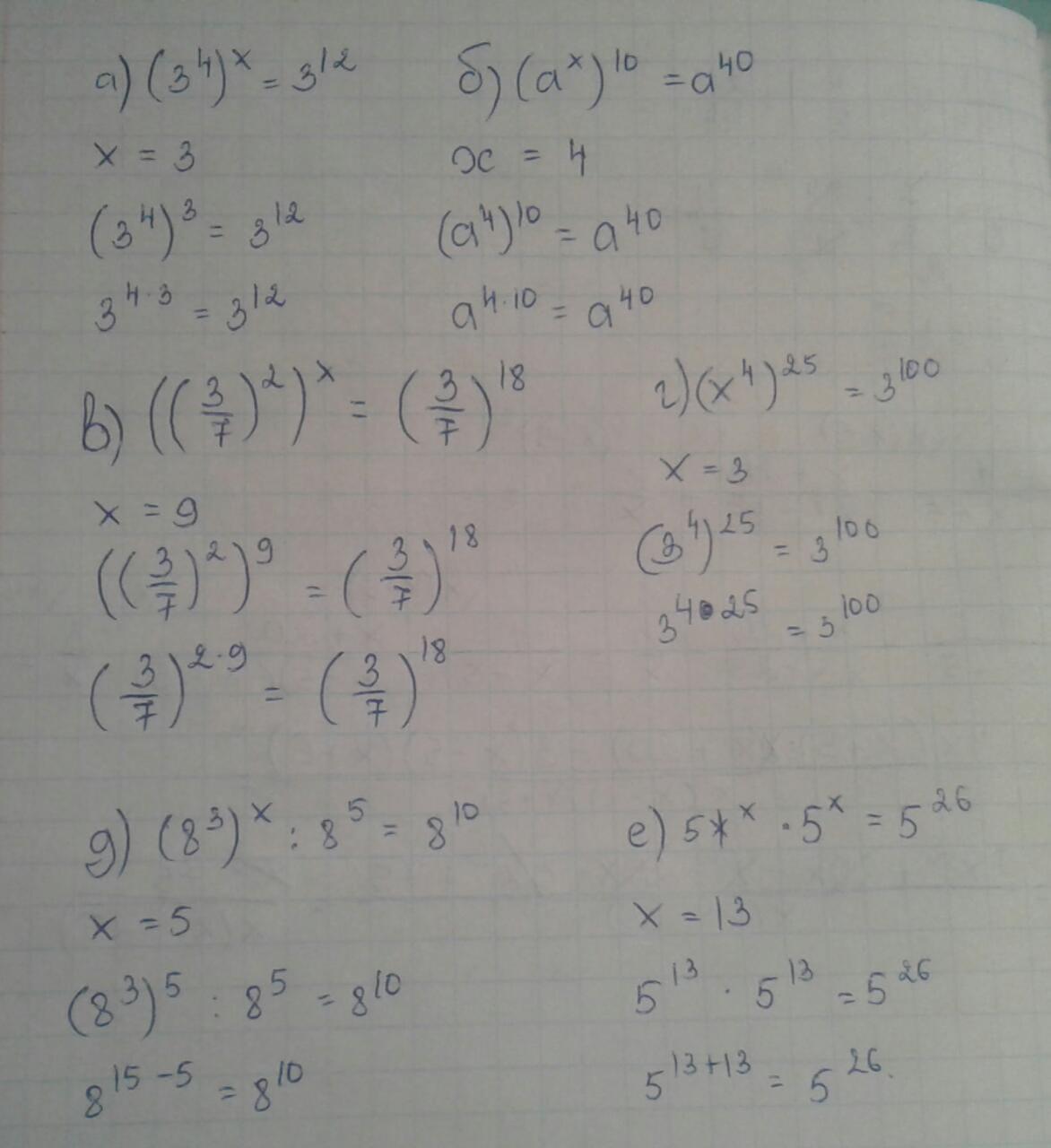
2. В приведённых равенствах вместо х запишите такое число, чтобы получилось верное равенство. Обоснуйте свой ответ: ​

Приложения:

Ответы

Ответ дал: Denius2
1

Ответ:

Ответ дан в решении.

Пошаговое объяснение:

Приложения:
Вас заинтересует