• Предмет: Алгебра
  • Автор: senkivvovik
  • Вопрос задан 2 года назад

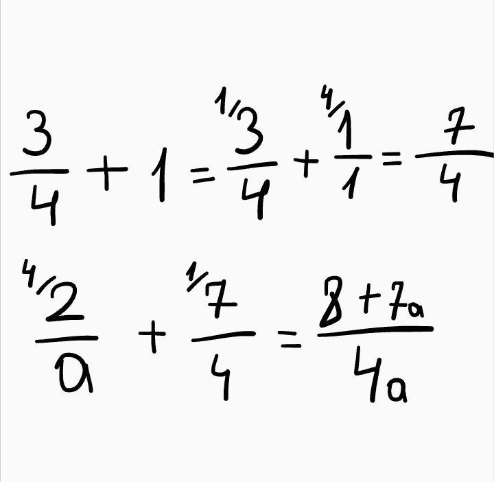
Запишіть вираз у вигляді дробу

Приложения:

Ответы

Ответ дал: saebyonng
0

Объяснение:

если что то не понятно, то спрашивайте

Приложения:
Вас заинтересует