• Предмет: Алгебра
  • Автор: Lizaa639
  • Вопрос задан 2 года назад

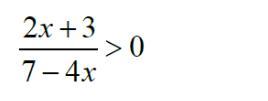
Срочно, с решением пожалуйста!

Приложения:

Ответы

Ответ дал: jixiolp
1

Ответ:

ответ смотри на фотографии

Приложения:

Lizaa639: Спасибо большое)
Вас заинтересует