Ответы
Ответ дал:
1
Ответ:
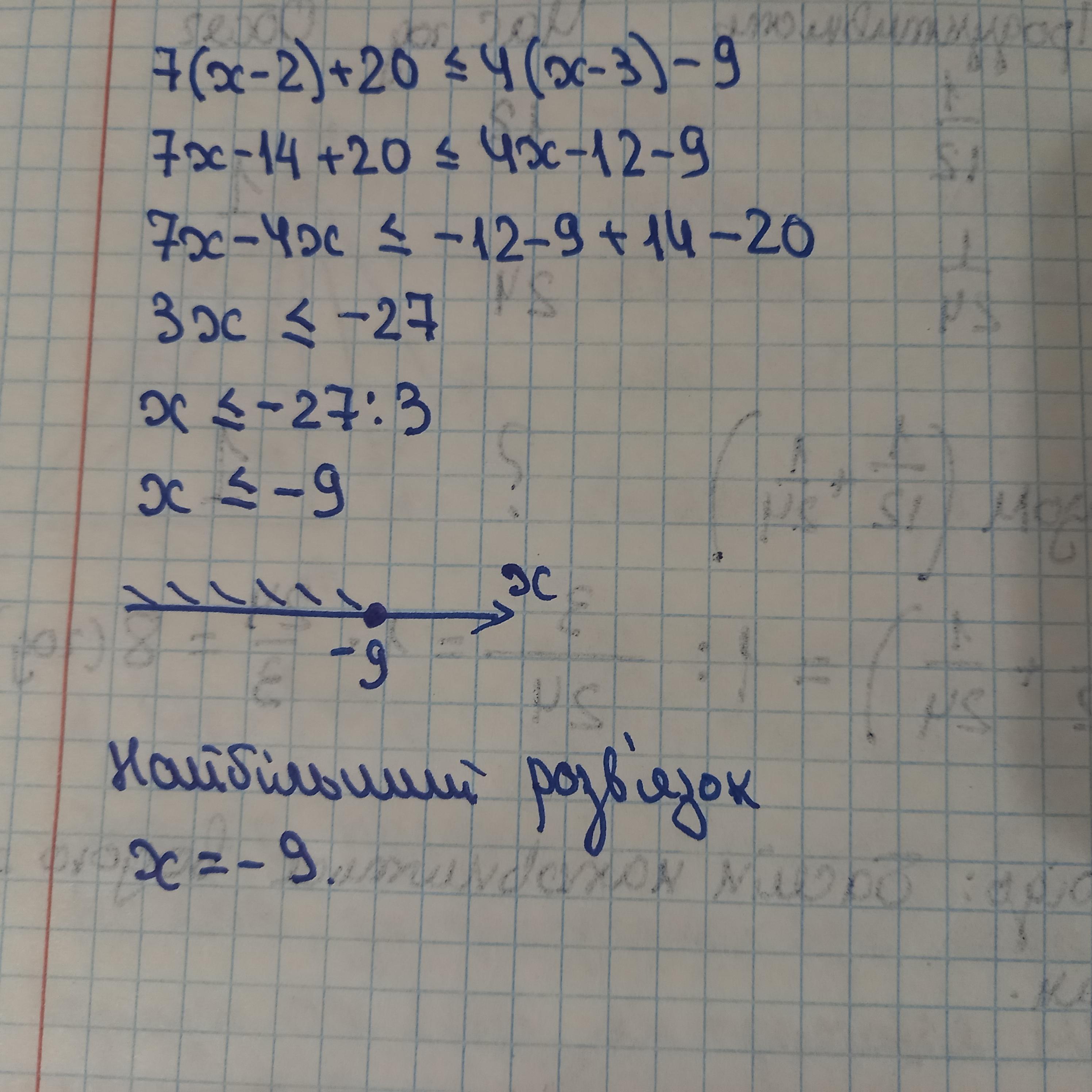
7(x-2)+20≤4(x-3)-9
7x-14+20≤4x-12-9
7x+6≤4x-21
7x-4x≤-21-6
3x≤-27
x≤-9
Ответ дал:
0
Відповідь: -9.
Пояснення:
розв'язання завдання додаю
Приложения:

Вас заинтересует
1 год назад
1 год назад
1 год назад
1 год назад
3 года назад
3 года назад
8 лет назад