ДАЮ 20 БАЛІВ. Точки A, B і C лежать на одній прямій. Знайдіть довжину відрізка AB, якщо BC = 4,7 см, AC = 5,6 см. СКІЛЬКІ РОЗВ ЯЗКІВ МАЄ ЗАДАЧА? напишіть декілька розв язків
Ответы
Ответ дал:
0
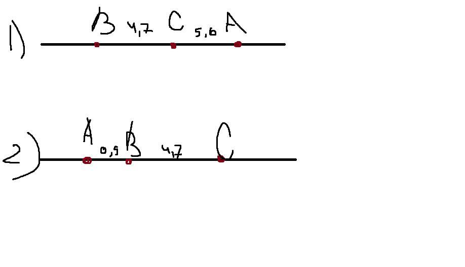
1 варіант
АВ=ВС+АС+4,7+5,6=10,3
2 варіант
АВ=АС-ВС=5,6-4,7=0,9
Приложения:

Вас заинтересует
1 год назад
1 год назад
1 год назад
1 год назад
3 года назад
3 года назад
8 лет назад