• Предмет: Физика
  • Автор: iramarcenuk64
  • Вопрос задан 2 года назад

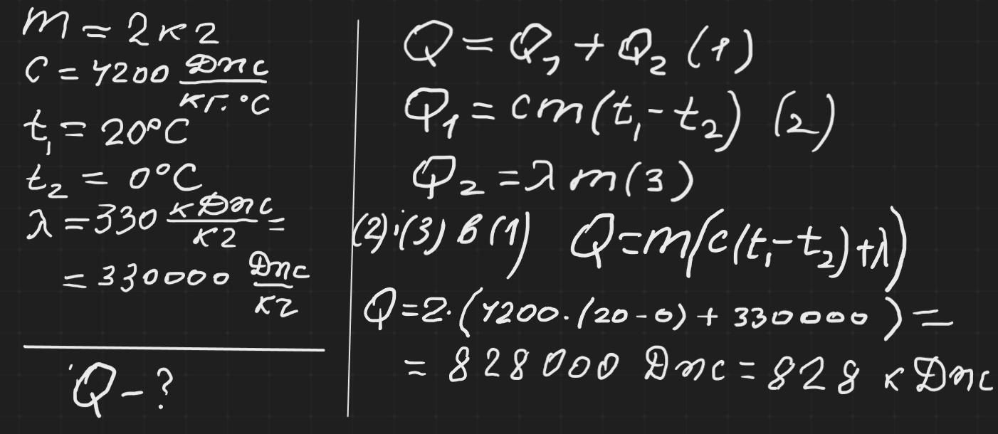
Яка кількість енергії потрібна для перетворення масою 2 кг води взятої при температурі 20 °С в лід? ​

Ответы

Ответ дал: zybkov1950
0

Відповідь: 828 кДж

Пояснення: Некоректно сформульована умова. Має бути:"Яка кількість енергії виділяється при перетворенні ...... "

Приложения:
Вас заинтересует