• Предмет: Геометрия
  • Автор: Оксана2103
  • Вопрос задан 11 лет назад

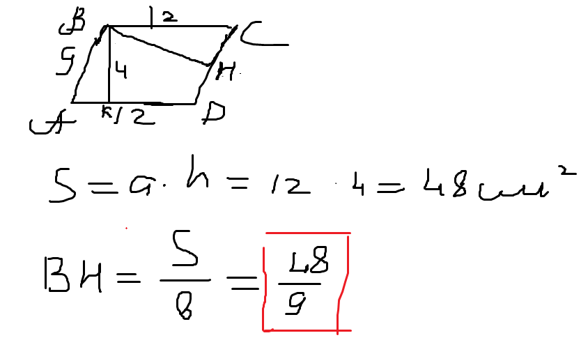
сторони паралелограма - 9 і 12,одна з висот - 4,знайти другу висоту паралелограма

Ответы

Ответ дал: Nikusy1999
0
ты точно правильно задачу списала??как найти другу высоту если не известен периметр.
Ответ дал: Аноним
0
Решение во вложениях)))))
Приложения:
Ответ дал: Оксана2103
0
спасибо огромное
Вас заинтересует