• Предмет: Алгебра
  • Автор: mrnikitstop2008
  • Вопрос задан 2 года назад

Приведите пример дробно рационального уравнения с одной переменной

Ответы

Ответ дал: minatut
0

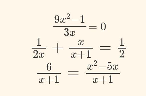
Ответ:

Объяснение:

Проще говоря, это уравнения, в которых есть хотя бы одна дробь с переменной в знаменателе.

Например:

9x^2-3/ 3x=0

6x^2-1/ x+2= 3x^2+9/ x+1

Приложения:
Вас заинтересует