• Предмет: Физика
  • Автор: andrejtkacuk023
  • Вопрос задан 2 года назад

50 балов помогите срочно. Всего два вопроса

Приложения:

Ответы

Ответ дал: Cohendd
0

Ответ:

Объяснение:..........

Приложения:

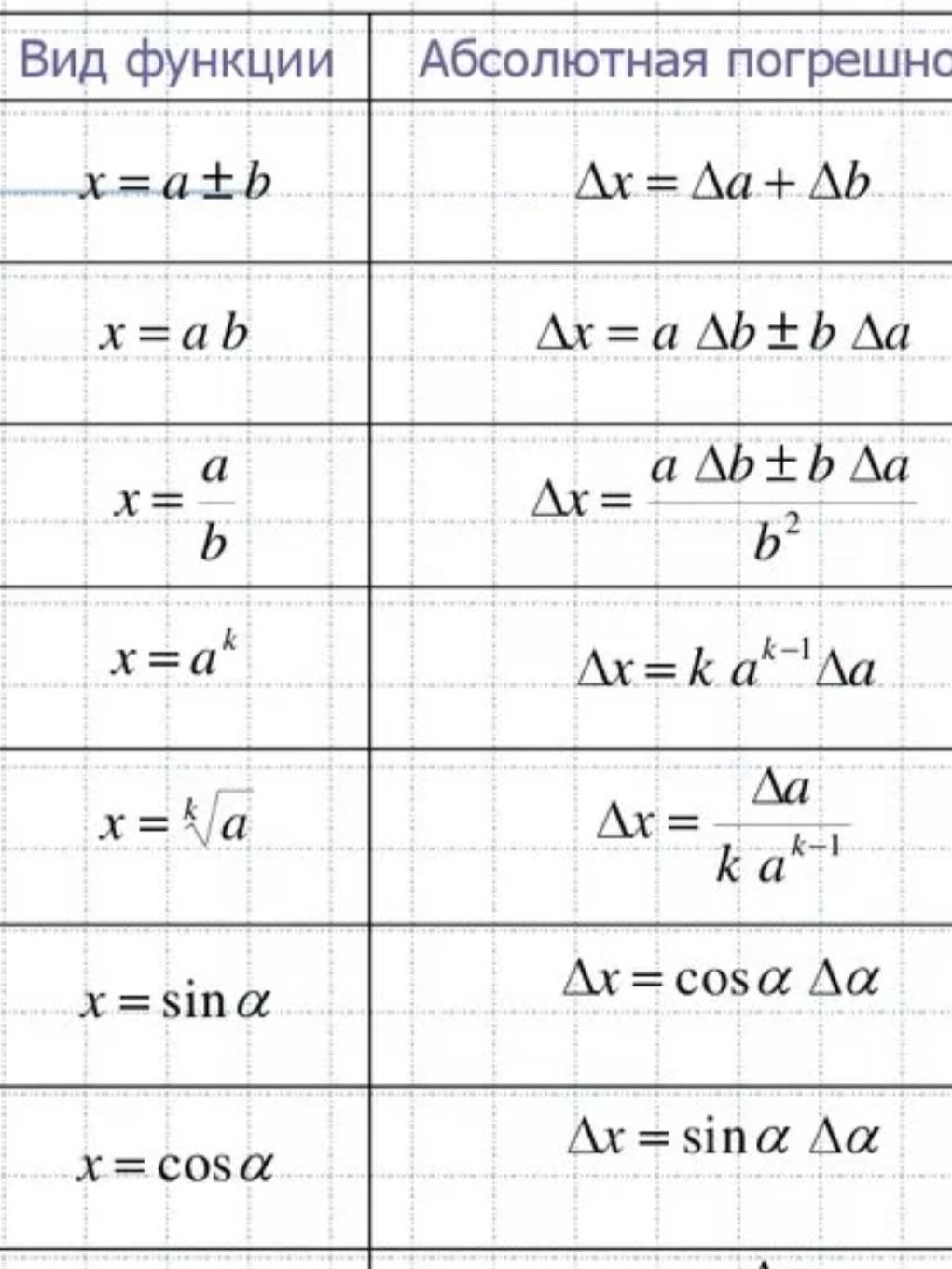
Cohendd: На третьем фото вычисления погрешности при разных действиях. Ничего сложного. Обычные производные.
andrejtkacuk023: Спасибо
Cohendd: Пожалуйста
Вас заинтересует