Ответы
Ответ дал:
2
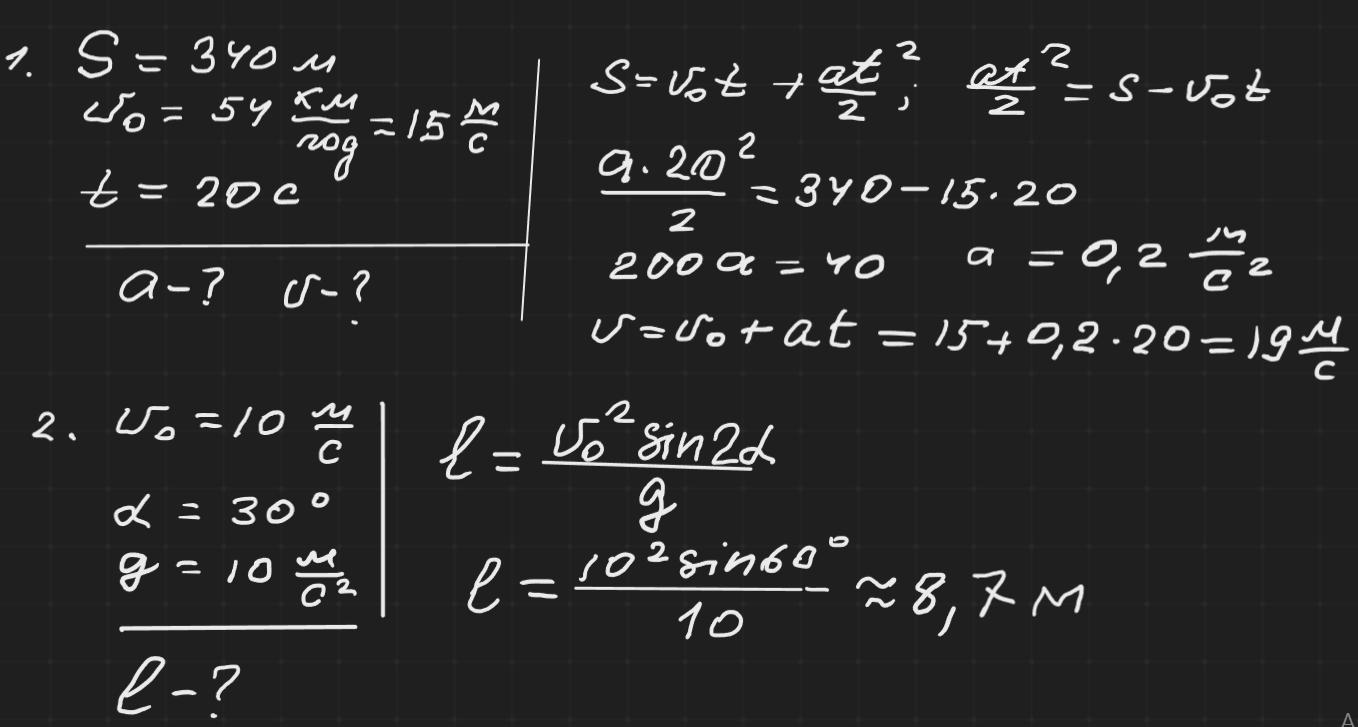
Відповідь: Див. додаток
Пояснення:
Приложения:

dmitrievegor917:
Дякую, можешь відповісти на ще одне будь ласка?
Вас заинтересует
1 год назад
1 год назад
1 год назад
1 год назад
3 года назад
8 лет назад