• Предмет: Алгебра
  • Автор: irashaina9
  • Вопрос задан 2 года назад

Розв‘яжіть систему нерівностей
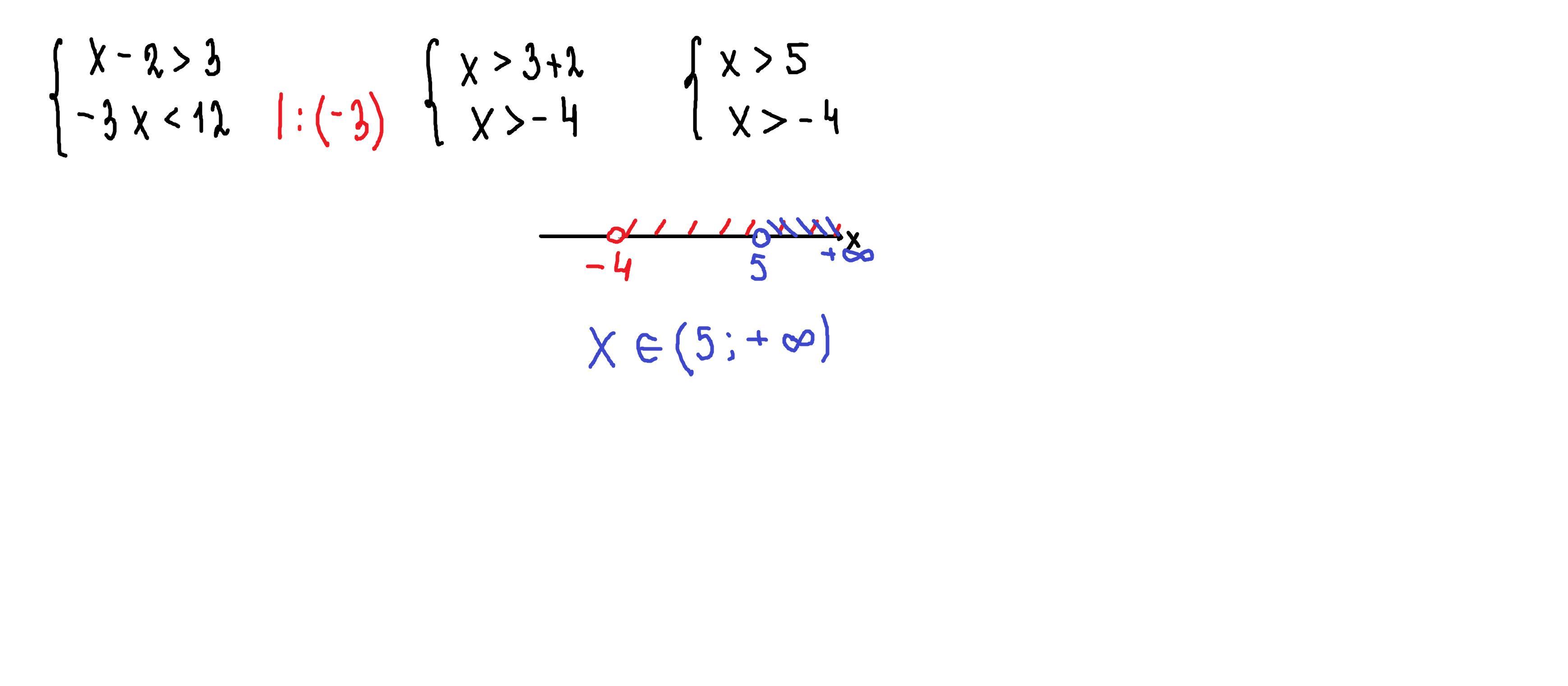
{x-2>3,
{-3x<12;

Ответы

Ответ дал: Smealck
0

Ответ:

x ∈ (5, +нескінченність)

Объяснение:

\left \{ {{x &gt; 5} \atop {x &gt; -4}} \right.

Ответ дал: parus77
0

Ответ:

х∈(5;+∞)

Объяснение:

при умножении на отрицательное число знак неравенства меняется на противоположный

решением яв-ся промежуток где одновременно две штриховки

Приложения:
Вас заинтересует