помогите пожалуйста заплачу 35
номер 1 Упростите выражение, Выполнять по действиям
Приложения:

Ответы
Ответ дал:
1
Ответ:
Объяснение:
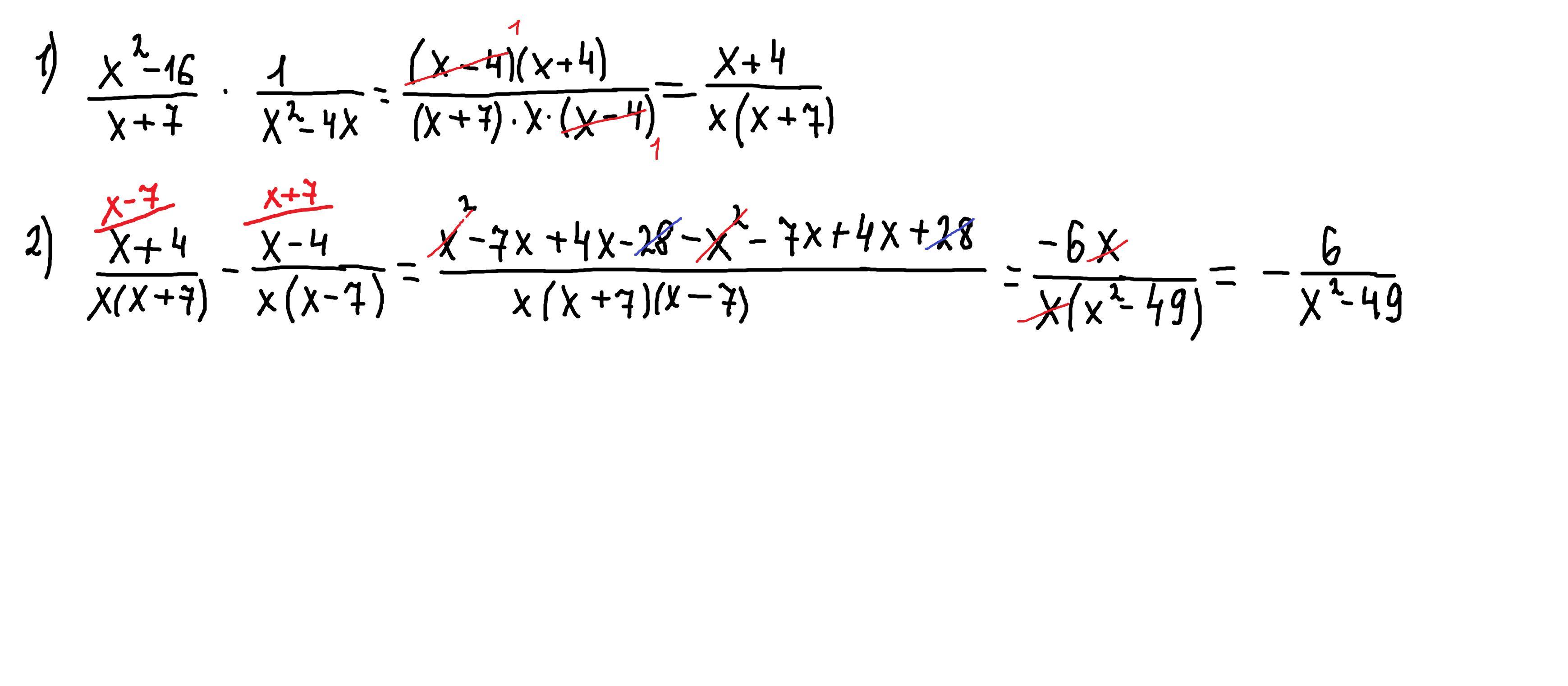
решение по действиям внизу
Приложения:

Alexander02029:
спасибо
Вас заинтересует
1 год назад
1 год назад
1 год назад
1 год назад
3 года назад