• Предмет: Физика
  • Автор: nastasya2911
  • Вопрос задан 2 года назад

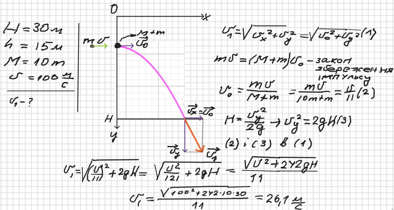
З точки А, яка знаходиться на висоті 30 м, падає куля. Коли вона пролетіла повз вікно, яке знаходиться на висоті 15 м, в неї в горизонтальному напрямку вистрілили з рушниці. Дробинка, застрягла у центрі кулі. З якою швидкістю куля впаде на землю? Дробинка легше кулі в 10 разів, її швидкість 100м/с.

Ответы

Ответ дал: zybkov1950
2

Відповідь:   ≈ 26,1 м/с

Пояснення: Результат не залежить від висоти на якій в горизонтальному напрямку вистрілили з рушниці.

Приложения:
Вас заинтересует