• Предмет: Алгебра
  • Автор: thecoffeeuz
  • Вопрос задан 2 года назад

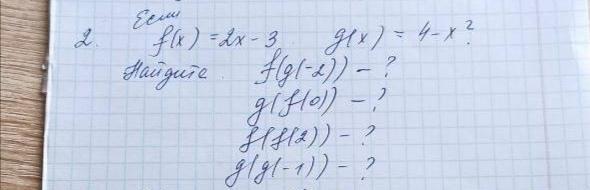
Помогите плиз, алгебра 10 класс, задание на фото

Приложения:

Ответы

Ответ дал: ketrinstil71
1

Відповідь:

1. -3

2. -5

3. -1

4. -5

Пояснення:

1. Підставимо значення -2 в функцію g(x) отримаємо 0, потім наш 0 підставимо у функцію f(x), отримаємо -3

2. f(0) = -3, g(-3)=-5

3. f(2)=1, f(1)=-1

4. g(-1)=3, g(3)=-5

Вас заинтересует