• Предмет: Алгебра
  • Автор: karasumachann
  • Вопрос задан 2 года назад

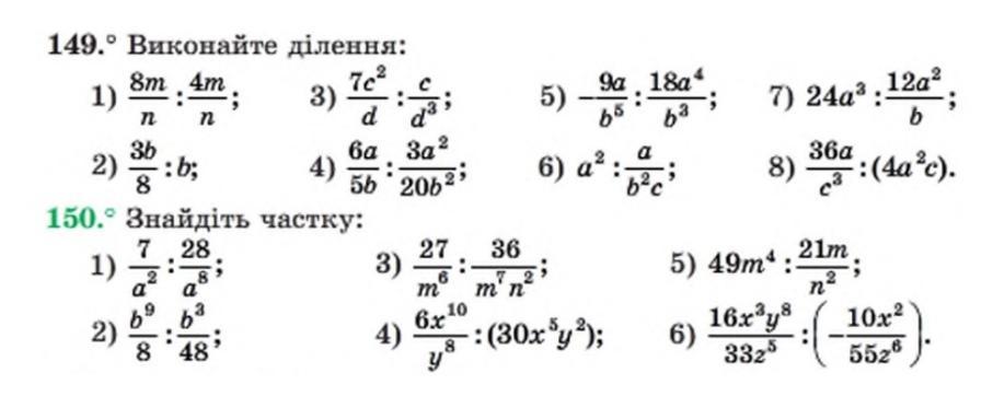
Виконайте ділення та знайдіть частку

Приложения:

Vovan4hik: зелене?
karasumachann: Оба

Ответы

Ответ дал: olgaua64
0

Відповідь:

Пояснення:

діленя дробів заміняють множенням на взаємообернений дріб : a/b ÷ c/d = a/b×d/

149.

8m/n ÷4m/n=8m/n × n/(4m)=2

3b/8÷b=3b/8 ×1/b =3/8

7c²/d ÷ c/d³=7c²/d×d³/c=7cd²

6a/5b ÷ 3a²/(20b²) = 6a/5b × 20b²/3a² = 8b/a

9a/b⁵ ÷ 18a⁴/b³ = 9a/b⁵ × b³/18a⁴ = 1/(2a³b²)

a²÷a/(b²c) =a² × b²c/a =ab²c

24a³ ÷ 12a²/b = 24a³ × b/(12a²) = 2ab

36a/c² ÷ (4a²c) = 36a/c² × 1/(4a²c) =9/(ac³)

150

7/a² ÷ 28/a⁸ =7/a² × a⁸/28 =a⁶/4

b⁹/8÷b³/48=b⁹/8×48/b³=6b⁶

27/m⁶ ÷ 36/(m⁷n²) = 27/m⁶ × m⁷n²/36 = 3mn²/4

6x¹⁰/y⁸ ÷ (30x⁵y²) = 6x¹⁰/y⁸ × 1/(30x⁵y²) = x⁵/(5y¹⁰)

49m⁴ ÷ 21m/n² = 49m⁴ × n²/ (21m)=7/3 × m³n²= 2 1/3 m³n²

16x³y⁸/33z⁵ ÷ (- 10x²/55z⁶) = - 16x³y⁸/ 33z⁵ × 55z⁶/10x² = - 8/3 × zxy⁸ = -2 2/3 zxy⁸

Вас заинтересует