Ответы
Ответ дал:
1
Пошаговое объяснение:
............................
Приложения:

Ответ дал:
1
Ответ:
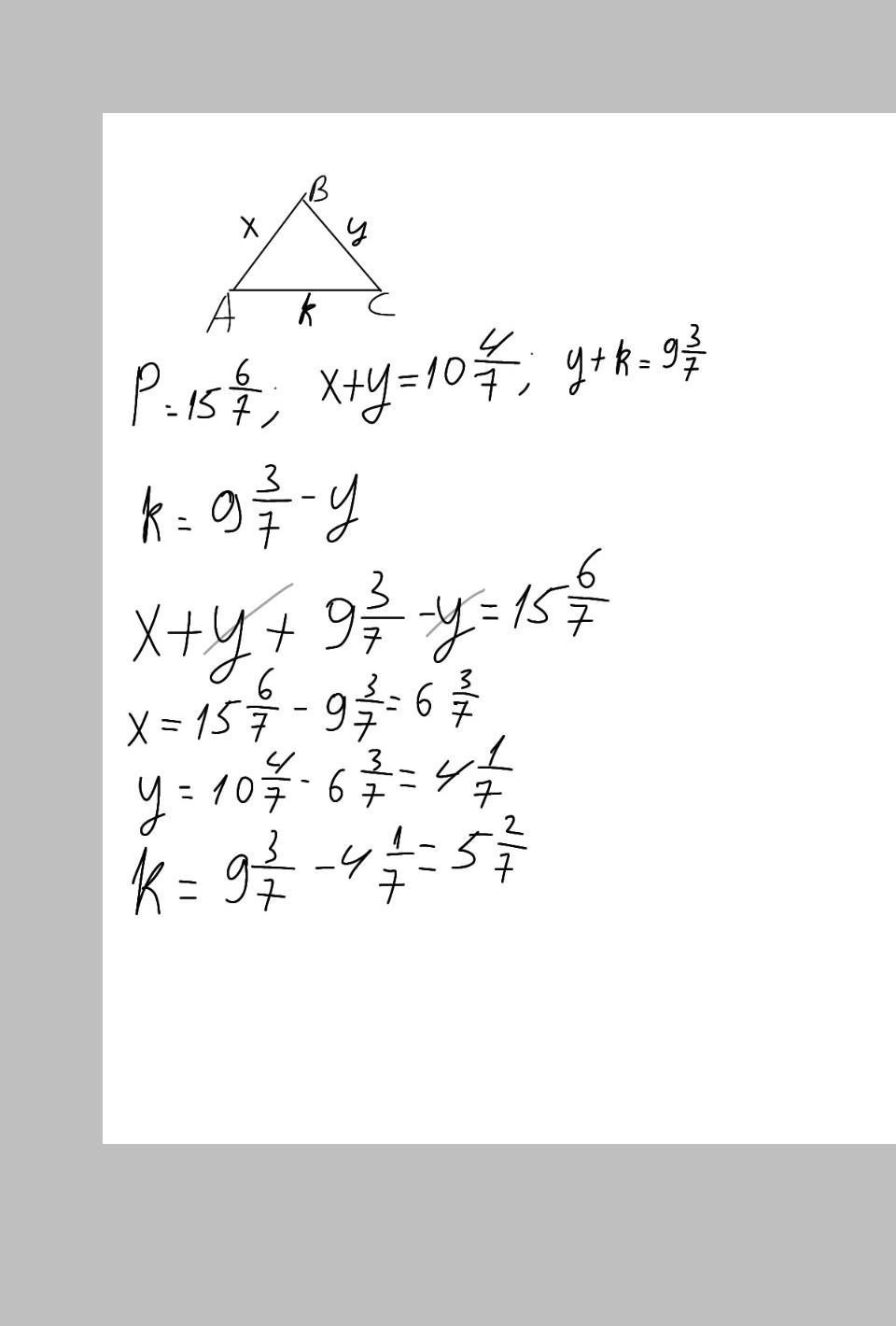
6+3/7, 4+1/7, 5+2/7 соответственно
Пошаговое объяснение:
10+4/7+9+3/7= 20(первая сторона плюс третья плюс удвоенная вторая)
20- (15+6/7) = 4+1/7 (вторая сторона)
10+4/7 - (4+1/7) = 6+3/7 (первая сторона)
9+3/7 - (4+1/7) = 5+2/7 (третья сторона)
Вас заинтересует
1 год назад
1 год назад
3 года назад
3 года назад
8 лет назад