• Предмет: Алгебра
  • Автор: Аноним
  • Вопрос задан 2 года назад

ПОМОГИТЕ ПОЖАЛУЙСТА . РЕБЯТА ОЧЕНЬ СРОЧНО !!!!!!!!!!!! ПОМОГИТЕ!! ДАЮ 80 БАЛЛОВ

Приложения:

Ответы

Ответ дал: zahyoushart11
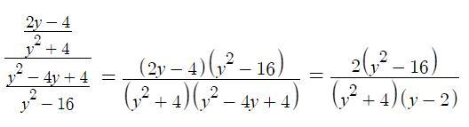
1

Відповідь: Відповідь на малюнку

Приложения:

zahyoushart11: Можно пожалуйста лучший ответ?)
Аноним: СПАСИБО БОЛЬШОЕ
Вас заинтересует