• Предмет: Алгебра
  • Автор: TORNADOBrogamer
  • Вопрос задан 2 года назад

Допоможіть будь ласка та роспишіть ваші дії!
Даю 50 балів!!!

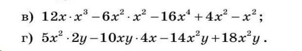
Приложения:

Ответы

Ответ дал: Manterrr
2

Ответ:

сори многочлены ещё не учил

12x x³-6x2 x²-16x+4x² - x²

вычисли произведения

12х⁴-6х⁴-16х⁴+4х²-х²

а потом реши до:

-10х⁴+3х² вот ответ

5x2.2y-10xy 4x-14x2y+18x²y

решать по схеме выше

будет -26х²у

Объяснение:

надеюсь помог :3

Вас заинтересует