• Предмет: Алгебра
  • Автор: zhamikzhxxxam
  • Вопрос задан 2 года назад

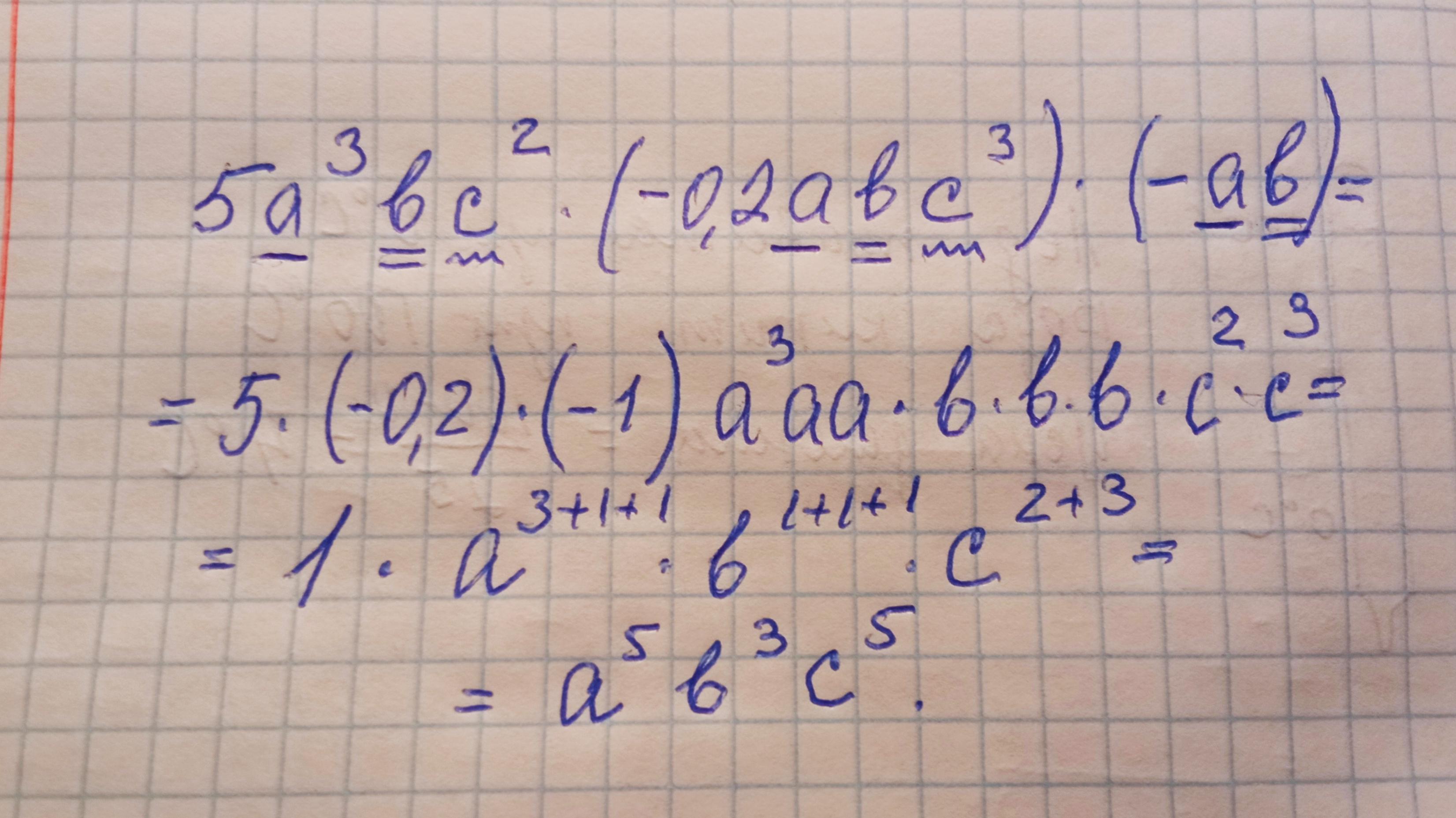
5a³bc²× (-0,2 abc ³)×(-ab)​

Ответы

Ответ дал: Cohendd
1

Ответ:

Объяснение:..........

Приложения:

zhamikzhxxxam: спасибо большое
Cohendd: Пожалуйста
jjjtt: можете мне пожалуйста помочь? в профиле
Cohendd: Извините, я алгебру не делаю.
Вас заинтересует