• Предмет: Алгебра
  • Автор: Людмила2012
  • Вопрос задан 2 года назад

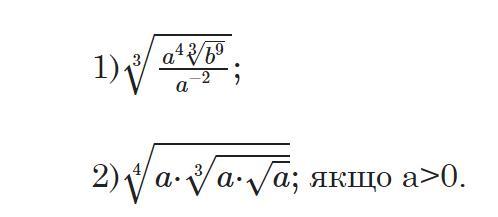
Даю 20 баллов. Нужно сократить

Приложения:

Ответы

Ответ дал: kuvshinka1111111
1

Відповідь:

:)

Пояснення:

1) \sqrt[3]{a^{6}b^{3} }=a^{2}b

2) На фото

Приложения:
Вас заинтересует