• Предмет: Математика
  • Автор: Mechtа
  • Вопрос задан 2 года назад

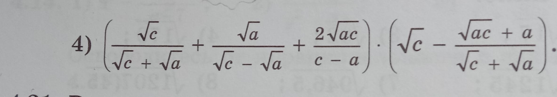
Выполните действия. Алгебра, 8 класс
Помогите :__

Приложения:

Ответы

Ответ дал: manyny06
1

Ответ:

решение смотри на фотографии

Приложения:
Вас заинтересует