Ответы
Ответ дал:
1
Ответ:
решение смотри на фотографии
Приложения:

iramazurk:
Проверьте свое решение. Вторую строчку вторую дробь
Ответ дал:
0
Пошаговое объяснение:
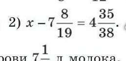
х - 7 8/19 = 4 35/38
х = 4 35/38 + 7 8/19
х = 4 35/38 + 7 16/38
х = 11 51/38
х = 12 13/38
Вас заинтересует
1 год назад
1 год назад
1 год назад
1 год назад
3 года назад
8 лет назад