Ответы
Ответ дал:
1
Ответ:
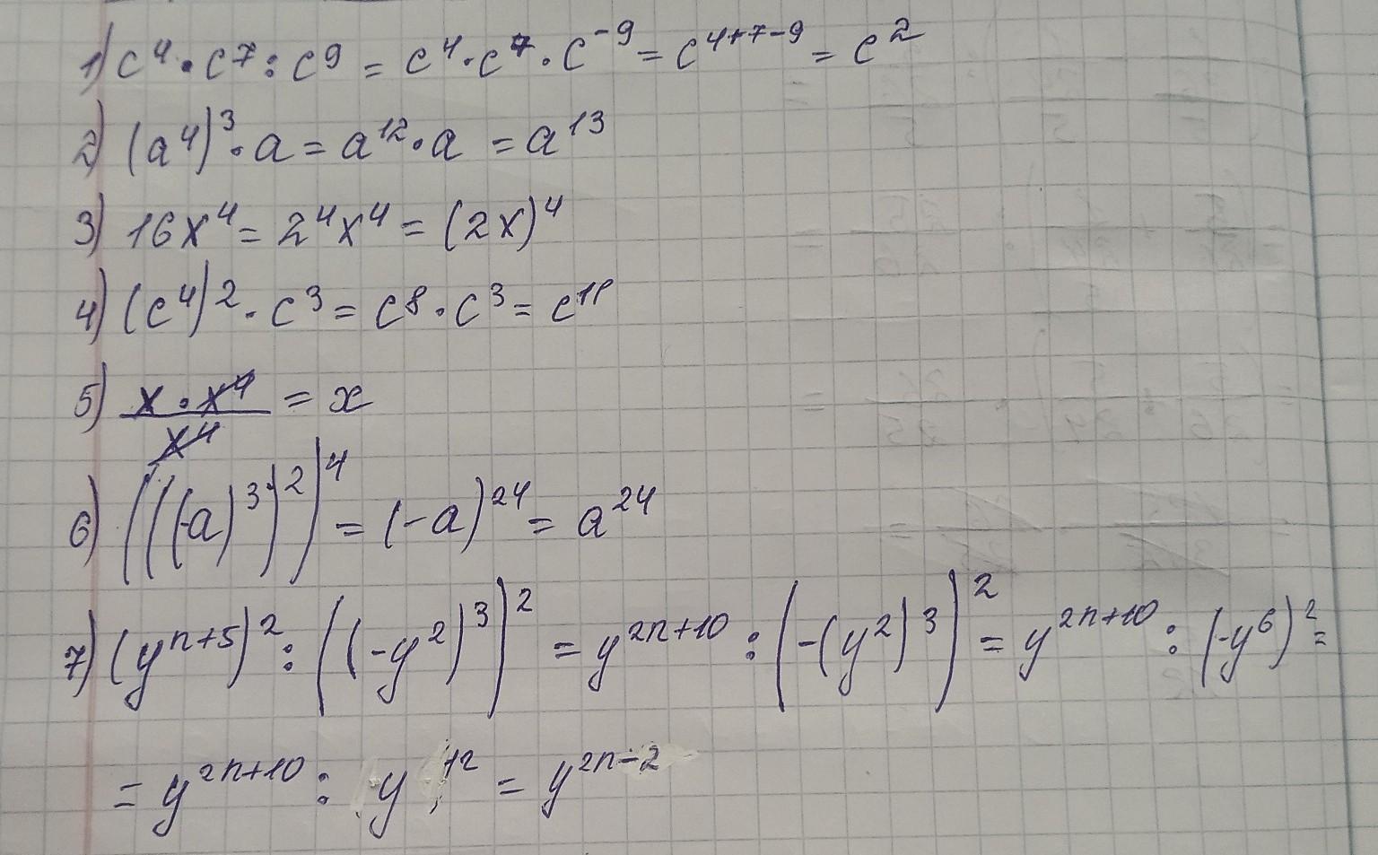
Розписала все в подробностях
Приложения:

vasilchenkomaks2009:
дякую
Вас заинтересует
1 год назад
1 год назад
1 год назад
1 год назад
3 года назад
3 года назад
8 лет назад