• Предмет: Математика
  • Автор: larmkosmos
  • Вопрос задан 2 года назад

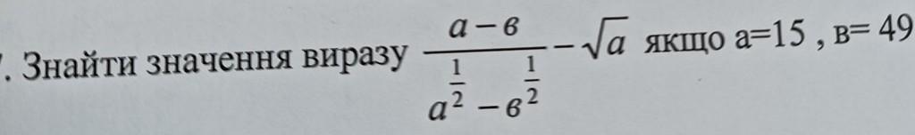
а-в - Знайти значення виразу 1 I-√a в 2 якщо а=15 , в= 49 .​

Приложения:

Ответы

Ответ дал: manyny06
0

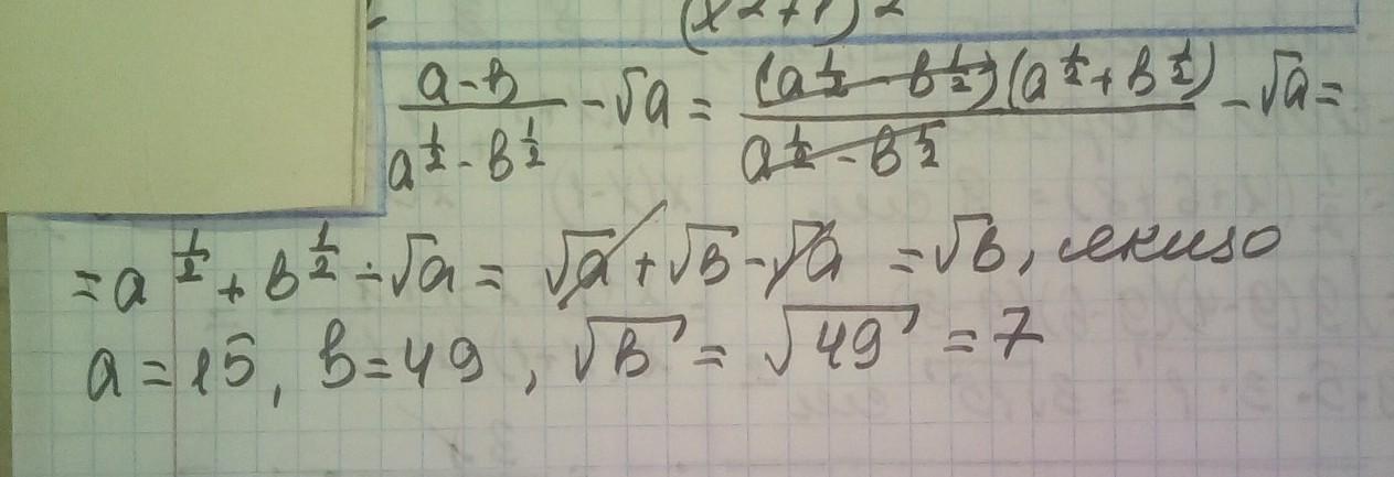
Ответ:

решение смотри на фотографии

Приложения:
Вас заинтересует