• Предмет: Физика
  • Автор: vikaskripnij
  • Вопрос задан 2 года назад

Пожалуйста помогите
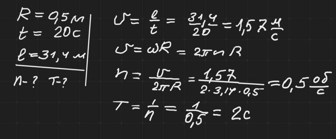
Точка рухається по колу радіусом 0,5 м. Протягом 20 с воно пройшло шлях 31,4 м. Визначте частоту та період її руху.

Приложения:

Ответы

Ответ дал: zybkov1950
1

Відповідь: Див. додаток

Пояснення:

Приложения:
Вас заинтересует