• Предмет: Алгебра
  • Автор: Pshevka
  • Вопрос задан 2 года назад

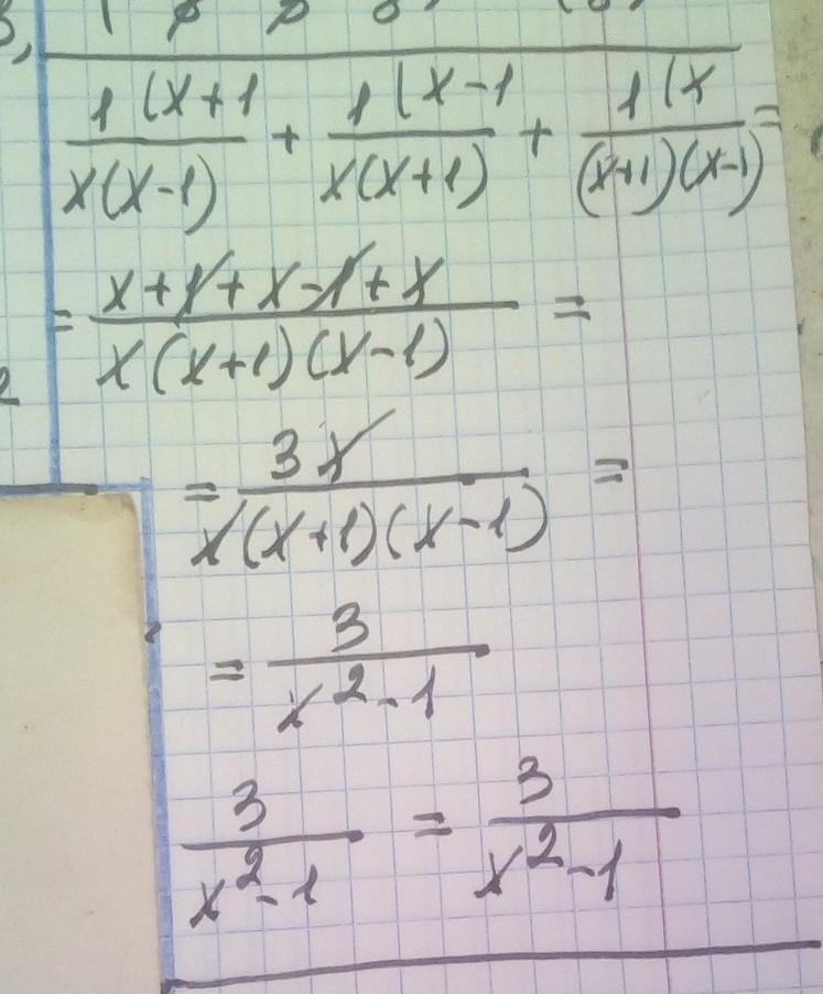
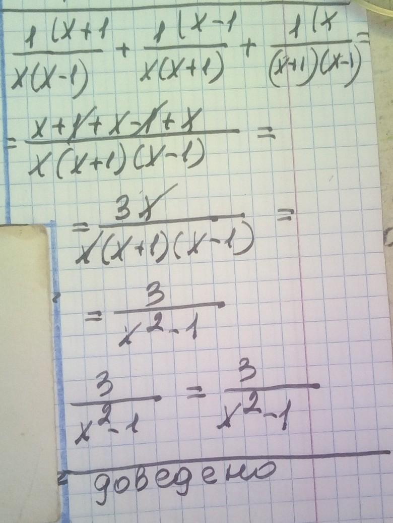
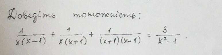
Будь ласка, дуже потрібно)​

Приложения:

Ответы

Ответ дал: manyny06
0

Ответ:

решение смотри на фотографии

Приложения:
Вас заинтересует