• Предмет: Математика
  • Автор: secretik31
  • Вопрос задан 2 года назад

помогите пожалуйста
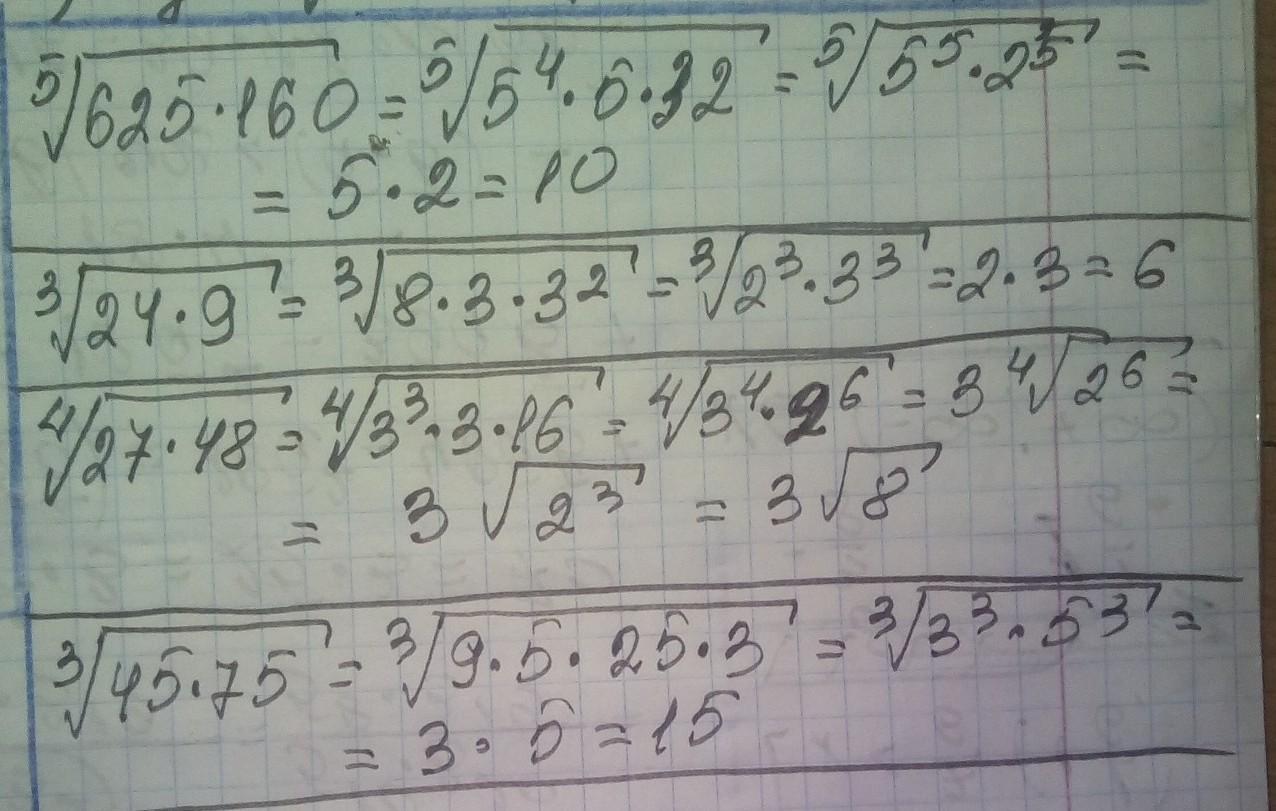
5.8Найдите значения выражений
1)
 \sqrt[5]{625 \times 160}

Приложения:

Ответы

Ответ дал: manyny06
1

Ответ:

решение смотри на фотографии

Приложения:

secretik31: спасибо
Вас заинтересует