• Предмет: Алгебра
  • Автор: 000146352
  • Вопрос задан 2 года назад

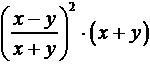
Дайте ответ пожалуйста

Приложения:

Ответы

Ответ дал: saparbaysaparbayev4
0

Ответ:

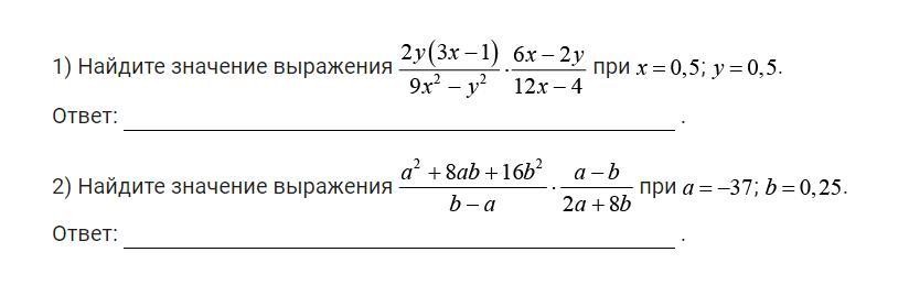
вот и ответ:) мы тут сокрашали друг другу ,а потом по формуле ответ написали:]

Приложения:
Вас заинтересует