Ответы
Ответ дал:
0
Ответ:
2 1/3
Пошаговое объяснение:
Приложения:

Ответ дал:
0
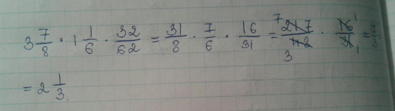
Ответ:
2 1/3
Пошаговое объяснение:
3 7/8 * 1 1/6 * 32/62 = 31/8 * 7/6 * 16/31 =
(31/8 * 16/31) * 7/6 = (1/1 * 2/1) * 7/6 =
2/1 * 7/6 = 14/6 = 7/3 = 2 1/3
Вас заинтересует
1 год назад
1 год назад
1 год назад
3 года назад
3 года назад
8 лет назад
8 лет назад