• Предмет: Математика
  • Автор: aydanismayilli499
  • Вопрос задан 2 года назад

с решением(срочно!!!)​

Приложения:

Ответы

Ответ дал: Pavecenko808
0

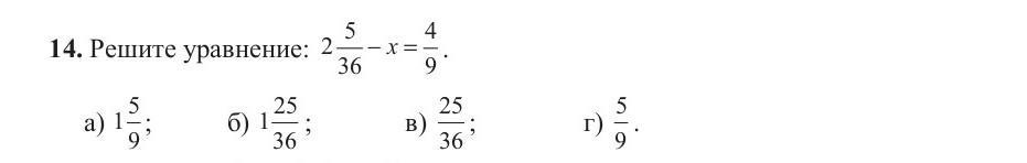
Ответ:

x = 1 \frac{25}{36}

Отже правильною відповіддю буде - б)

Пошаговое объяснение:

2 \frac{5}{36}  - x =  \frac{4}{9}  \\ x = 2 \frac{5}{36}  -  \frac{4}{9}  \\ x = 1 \frac{25}{36}

________________________

2 \frac{5}{36}  - 1 \frac{25}{36} =  \frac{4}{9}

Вас заинтересует