• Предмет: Алгебра
  • Автор: be3yh4ikgg
  • Вопрос задан 2 года назад

БУДЬ ЛАСКА! Поясніть як, без Photomath, там ну зовсім не так як у класі! У мене лише 2 гарні оцінки, будь-ласка допоможіть.

Приложения:

Ответы

Ответ дал: manyny06
1

Ответ:

решение смотри на фотографии

Приложения:
Ответ дал: Universalka
0

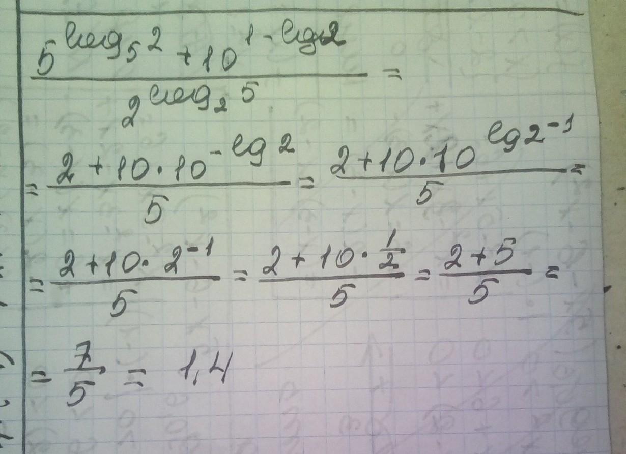
\displaystyle\bf\\1)\\\\\frac{5^{\log_{5} 2} +10^{1-\lg2} }{2^{\log_{2} 5} } =\frac{2+10^{\lg10-\lg2} }{5}=\frac{2+10^{\lg\frac{10}{2} } }{5}=\frac{2+10^{\lg5} }{5}  =\\\\\\=\frac{2+5}{5} =\frac{7}{5}=1,4 \\\\\\2)\\\\ODZ \ : \ \left \{ {{x^{2} +3 > 0} \atop {x+3 > 0}} \right.\\\\\\\left \{ {{x\in R} \atop {x > -3}} \right.  \  \  \ \Rightarrow \  \  \ x > -3\\\\\\\log_{2} (x^{2} +3)=1+\log_{2} (x+3)\\\\\log_{2} (x^{2} +3)=\log_{2} 2+\log_{2} (x+3)

\displaystyle\bf\\\log_{2} (x^{2} +3)=\log_{2}\Big[2\cdot (x+3)\Big]\\\\\log_{2} (x^{2} +3)=\log_{2} (2x+6)\\\\x^{2} +3=2x+6\\\\x^{2} -2x-3=0\\\\Teorema \ Vieta \ :\\x_{1} +x_{2} =2\\\\x_{1} \cdot x_{2} =-3\\\\x_{1} =-1\\\\x_{2} =3\\\\Otvet \ : \ -1 \ ; \ 3


asdjkasdajksdjka: помогите пожалуйста срочно!
asdjkasdajksdjka: умоляю
asdjkasdajksdjka: https://znanija.com/task/50614125
Вас заинтересует