• Предмет: Алгебра
  • Автор: Ar1eck
  • Вопрос задан 2 года назад

Помогите пожалуйста
Все задания пожалуйста

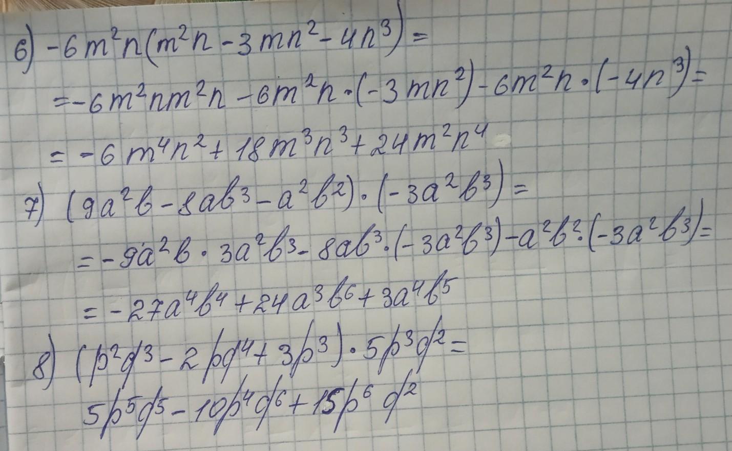
Приложения:

Ответы

Ответ дал: sgooow
2

Объяснение:

......................

Приложения:

Ar1eck: Спасибо
Можешь ещё с одним помочь оно у меня на аккаунте буду благодарен
Ответ дал: varvarinecangelina60
1

Ответ:

Розписала все докладно

Приложения:

Ar1eck: Спасибі
Вас заинтересует