• Предмет: Математика
  • Автор: jumpduck2011
  • Вопрос задан 2 года назад

Даю 100 балов!!! Срочно! Розписати повністю! У меня є 10 хвилин!!!

Приложения:

Ответы

Ответ дал: pekbek
2

Ответ:

будь ласка поставте 5 зірок)

Пошаговое объяснение:

надіюсь допомогла

Приложения:

jumpduck2011: Дякую тобі велике!!!
pekbek: будь ласка
Ответ дал: iramazurk
1

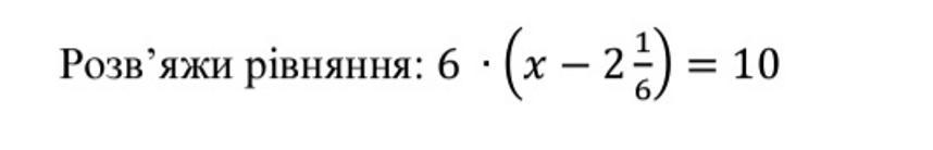
Ответ:

3 5/6

Пошаговое объяснение:

6 * (х - 2 1/6) = 10

х - 2 1/6 = 10 : 6

х - 2 1/6 = 10/6

х = 10/6 + 2 1/6

х = 1 4/6 + 2 1/6

х = 3 5/6

Вас заинтересует