• Предмет: Физика
  • Автор: yo3rrjjb
  • Вопрос задан 2 года назад

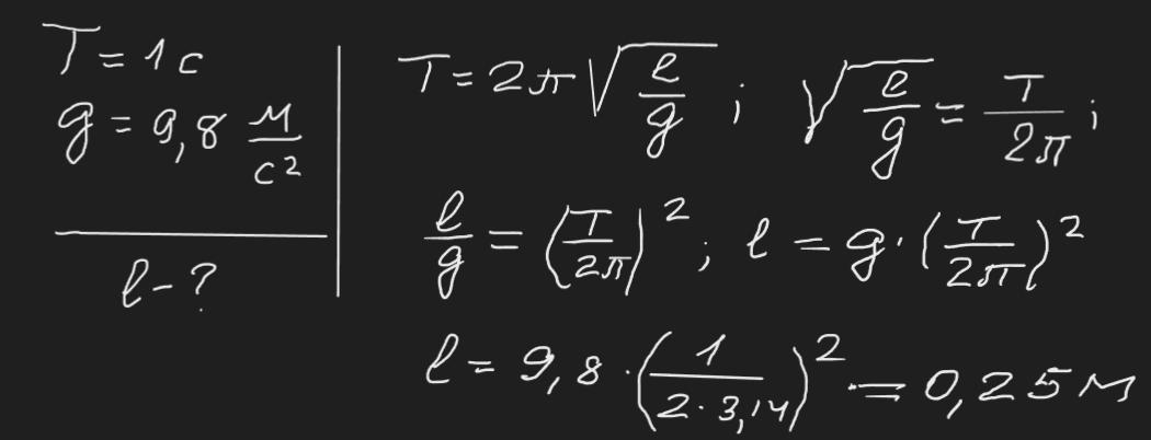
Визначте довжину секундного маятника

Ответы

Ответ дал: zybkov1950
1

Відповідь: ≈ 0,25 м

Пояснення:

Приложения:

yo3rrjjb: Спасибо
zybkov1950: А "Дякую" там де сердечко?
Вас заинтересует