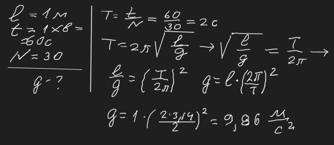
Математичний маятник довжиною 1м за 1 хвилину здійснює 30коливань.Визначити прискорення вільного падіння місцевості,де знаходиться маятник
Ответы
Ответ дал:
1
Відповідь: ≈ 9,86 м/с²
Пояснення:
Приложения:

yo3rrjjb:
Спасибо огромное
Вас заинтересует
1 год назад
1 год назад
1 год назад
1 год назад
3 года назад
8 лет назад
8 лет назад