ХІМІЯ 7 КЛАСС ДОПОМОЖІТЬ, СРОЧНО!!!!!
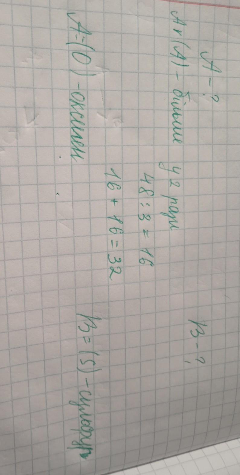
Є два елементи А, В. Відносна атомна маса елемента А у 2 рази більша за відносну атомну масу елемента В. Сума відносних атомних елементів А і В дорівнює 48. Визначте елементи А, В.
Ответы
Ответ дал:
0
Ar -відносна атомна маса.
Приложения:
Аноним:
дякую вам велике, можете допомогати? просто хочу велику оцінку
Прості речовини - це ...
речовини, які складаються з молекул;
речовини, які складаються з атомів;
речовини, утворені атомами одного хімічного елемента;
речовини, які не розкладаються під час нагрівання з утворенням нових речовин.
речовини, які складаються з молекул;
речовини, які складаються з атомів;
речовини, утворені атомами одного хімічного елемента;
речовини, які не розкладаються під час нагрівання з утворенням нових речовин.
це срочно!
Прості речовини - це речовини , які складаються з одного хімічного елемента (наприклад О2 -кисень) Тобто варіант 3
Вас заинтересует
2 года назад
2 года назад
2 года назад
3 года назад
3 года назад
9 лет назад