Ответы
Ответ дал:
1
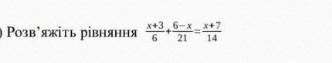
Відповідь: -6
Пояснення: розв'язання завдання додаю
Приложения:

Вас заинтересует
1 год назад
1 год назад
1 год назад
3 года назад
3 года назад
8 лет назад