• Предмет: Математика
  • Автор: rahimovahosiat3
  • Вопрос задан 2 года назад

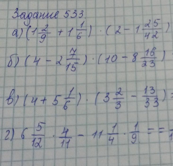
Решите примеры по действиям. ​

Приложения:

iramazurk: 1 пример правильно написан ????

Ответы

Ответ дал: iramazurk
1

Пошаговое объяснение:

а)

1) 1 2/9 + 1 1/6 = 1 4/18 + 1 3/18 = 2 7/18

2) 2 - 1 25/42 = 1 42/42 - 1 25/42 = 17/42

3) 2 7/18 * 17/42 = 43/18 * 17/42 = 731/756

б)

1) 4 - 2 7/15 = 3 15/15 - 2 7/15 = 1 8/15

2) 10 - 8 16/23 = 9 23/23 - 8 16/23 = 1 7/23

3) 1 8/15 * 1 7/23 = 23/15 * 30/23 = 1/1 * 2/1 = 2/1 = 2

в)

1) 4 + 5 1/6 = 9 1/6

2) 3 2/3 - 13/33 = 3 22/33 - 13/33 = 3 9/33 = 3 3/11

3) 9 1/6 * 3 3/11 = 55/6 * 36/11 = 5/1 * 6/1 = 30/1 = 30

г)

1) 6 5/12 * 4/11 = 77/12 * 4/11 = 7/3 * 1/1 = 7/3 = 2 1/3

2) 11 1/4 * 1/9 = 45/4 * 1/9 = 5/4 * 1/1 = 5/4 = 1 1/4

3) 2 1/3 - 1 1/4 = 2 4/12 - 1 3/12 = 1 1/12


rahimovahosiat3: всё верно
rahimovahosiat3: спасибо
iramazurk: пожалуйста
Вас заинтересует