• Предмет: Алгебра
  • Автор: Yanrio
  • Вопрос задан 2 года назад

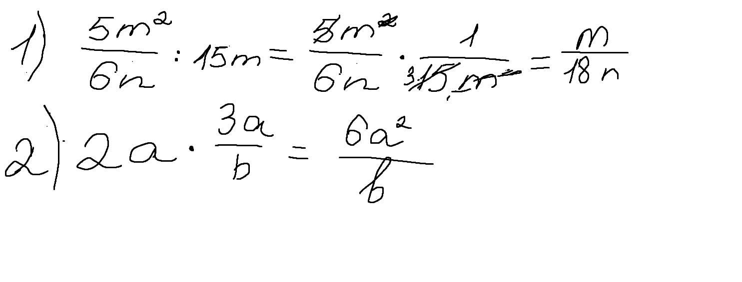
1) 5m в квадраті/6n : 15m =

3) 2а × 3а/b =
Негайно потрібно, будь ласка

Ответы

Ответ дал: dsafd1337
1

Ответ: в скриншоте

Объяснение:

Приложения:
Вас заинтересует