• Предмет: Алгебра
  • Автор: sologubevgen8
  • Вопрос задан 2 года назад

решение неравенств методом интервалов х²-64>0​

Ответы

Ответ дал: MizoriesKun
0

Смотри.................

Приложения:

sologubevgen8: велике вам спасибо
sologubevgen8: можете еще с один помочь
Ответ дал: parus77
0

Ответ:

Объяснение:

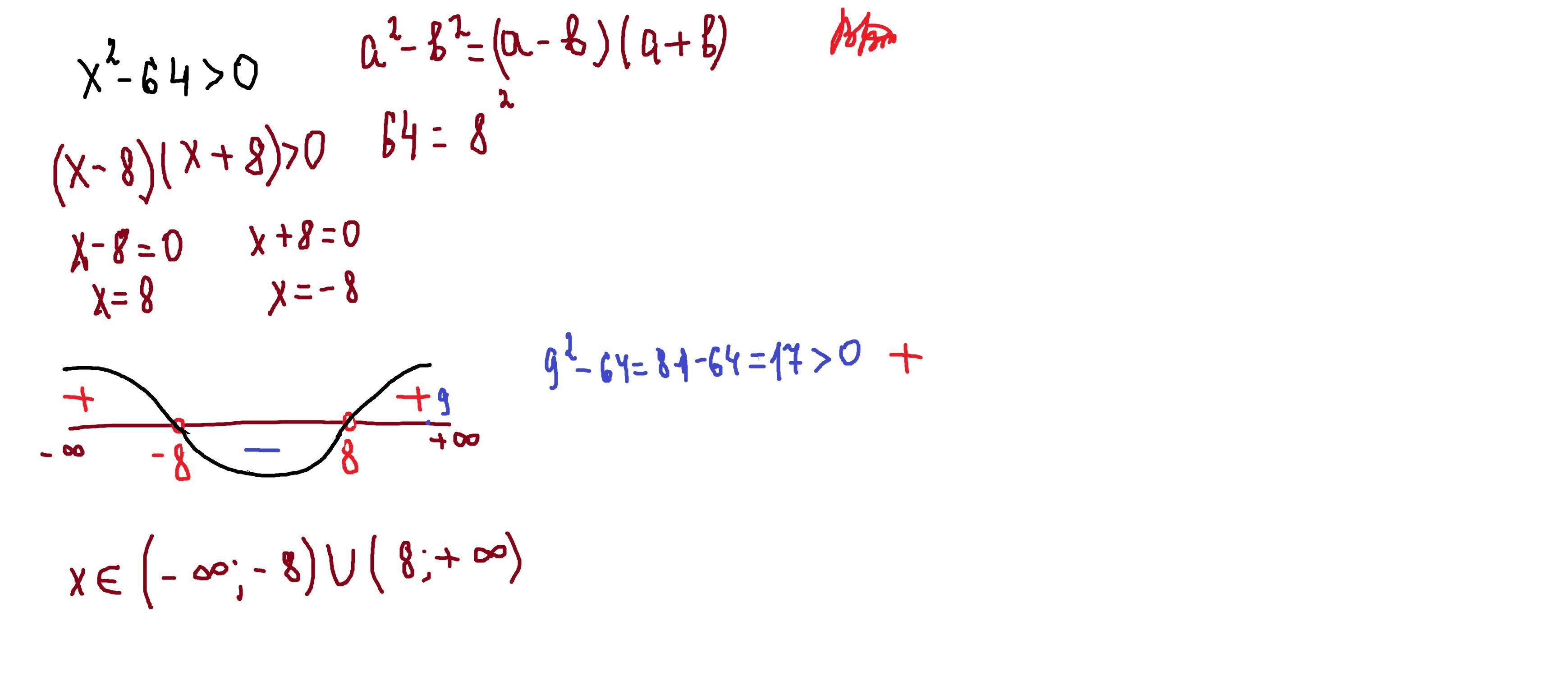
х²-64>0​                  

разложим на множители

приравняем каждую скобку к 0,решим простенькие уравнения

отметим эти точки на прямой

в крайнем правом промежутке (взяли точку 9 и нашли,что 17>0),значит там ставим знак "+".

при переходе через точку знак меняется на противоположный

т.к неравенство >0,то в ответ записываем промежутки,где стоит ПЛЮС

Приложения:
Вас заинтересует