Ответы
Ответ дал:
1
Ответ:
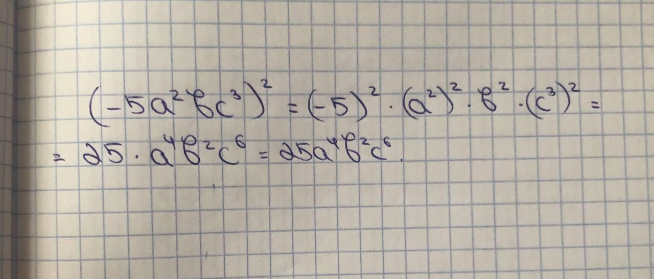
25а⁴б²с⁶
Объяснение:
должно быть правильно
Ответ дал:
1
Ответ:
фото
Объяснение:
Приложения:

Вас заинтересует
1 год назад
1 год назад
3 года назад
3 года назад
8 лет назад