• Предмет: Алгебра
  • Автор: ohiotoeveryoneey
  • Вопрос задан 2 года назад

СРОЧНО ПОМОГИТЕ ПОЖАЛУЙСТА!!!

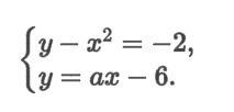
Решите систему уравнений:

При каких значениях а система имеет одно решение?

Укажите наименьшее целое положительное значение а, при котором система имеет два решения.

Укажите наименьшее целое значение а при котором система не имеет решения.

Приложения:

Ответы

Ответ дал: FaerVator
5

Ответ:

(см.объяснение)

Объяснение:

\displaystyle \left. \begin{cases} {y-x^2=-2   } \\ {  y=ax-6} \end{cases} \right.

Из второго уравнения значение у подставим вместо у в первом уравнении:

ax-6-x^2=-2\\-x^2+ax-6+2=0|\cdot(-1)\\x^2-ax+4=0

Из получившегося квадратного уравнения найдём дискриминант:

D=a^2-4\cdot1\cdot4=a^2-16

1)Уравнение будет иметь одно решение только тогда , когда D=0:

a^2-16=0\\a^2=16\\a=\pm4

При а=±4 система будет иметь одно решение

2)Уравнение будет иметь два решения , если D>0:

a^2-16 > 0\\a > \pm4

При а∈(-∞;-4)U(4;+∞) система будет иметь два решения

Наименьшее целое положительное из данного промежутка значение  это : 3

3)Уравнение не будет иметь решений в случае , если D<0:

a^2-16 &lt; 0\\a &lt; \pm4

При а∈(-4;4) система не будет иметь решения

Наименьшее целое значение из этого промежутка это :  -3

Вас заинтересует