• Предмет: Алгебра
  • Автор: 29nikita2010karashyk
  • Вопрос задан 2 года назад

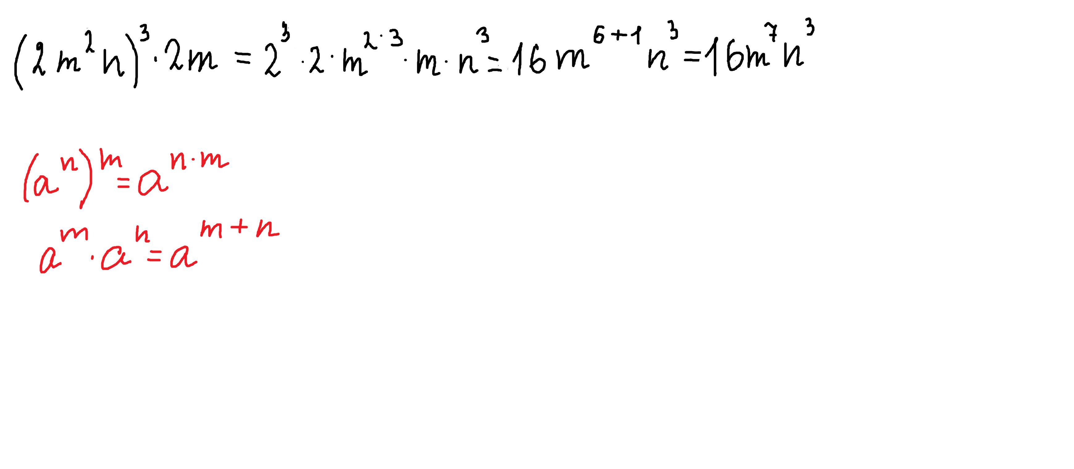
(2m²n)³•2m=?
Поможіть

Ответы

Ответ дал: parus77
0

Ответ:

Объяснение:

решение внизу

Приложения:
Вас заинтересует