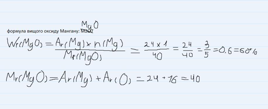
Запишіть формулу вищого оксиду Мангану й обчисліть масову частку (%) Оксигену в ньому.
допоможіть будь ласка
Ответы
Ответ дал:
2
Відповідь:
масова частка (%) Оксигену: 40%
Пояснення:
Пояснення у фото, надіюсь поміг.
Приложения:

maksmelnik654:
ой
Вас заинтересует
1 год назад
1 год назад
1 год назад