• Предмет: Алгебра
  • Автор: bylochka940
  • Вопрос задан 2 года назад

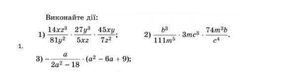
будь ласка допоможіть, терміново ​

Приложения:

Ответы

Ответ дал: lisweenv
1

Ответ: Рішення на фото

Объяснение:

Приложения:

bylochka940: ДЯКУЮ _/ \_
Вас заинтересует