• Предмет: Алгебра
  • Автор: kucikula261
  • Вопрос задан 2 года назад

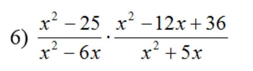
x²-25/x²-6x × x²-12x+36/x²+5x
помогите пожалуйста ​

Приложения:

Ответы

Ответ дал: imomnazarua
0

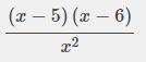
Відповідь:

Пояснення:

Приложения:
Ответ дал: korolula275
2

Объяснение:

.................................

Приложения:
Вас заинтересует